好大好长好紧爽男,宝贝,乖,使劲,夹我浪一点,国产激情在线一区,变态男把女内裤扒开让男人看

新聞資訊News Center
您的位置:首頁 - 新聞資訊 - 安全公告

關于注射用氫溴酸高烏甲素修訂說明書的公告

發布時間:2022-09-23 09:28閱讀次數: 分享到:


依據國家藥監局關于修訂氫溴酸高烏甲素注射劑說明書的公告(2022年第35),我公司對注射用氫溴酸高烏甲素說明書【不良反應】、【禁忌】、【注意事項】、【孕婦及哺乳期婦女用藥】、【兒童用藥】、【老年用藥】項進行修訂,請經營單位、使用單位知悉,更新后說明書全文如下。

                                                                                                                                        

核準日期:20070601

修訂日期:20130315

20180123

20220511

注射用氫溴酸高烏甲素說明書

請仔細閱讀說明書并在醫師指導下使用

【藥品名稱】

通用名稱:注射用氫溴酸高烏甲素

商品名稱:優一欣

英文名稱:Lappaconitine Hydrobromide for Injection

漢語拼音:Zhusheyong Qingxiusuan Gaowujiasu

【成份】本品主要成份為氫溴酸高烏甲素。

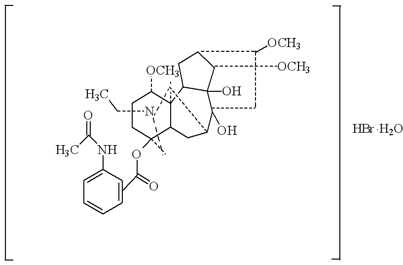
化學名稱為4,8,9-三羥基-1α,14α,16β-三甲氧基-20-乙基-烏頭烷-4-基)-2-(乙酰氨基)苯甲酸酯氫溴酸鹽水合物。

化學結構式:

分子式:C32H44N2O8·HBr·H2O

分子量:683.64

輔料:甘露醇。

【性狀】本品為白色或類白色疏松塊狀物或粉末。

【適應癥】用于中度以上疼痛的鎮痛治療。

【規格】(1)4mg 2)8mg

【用法用量】肌內注射:一次4mg,一日1~2次,或遵醫囑。

靜脈滴注:一日4~8mg,溶于葡萄糖氯化鈉注射液500ml中靜滴。

【不良反應】上市后監測中發現本品報告有以下不良反應(發生率未知):

免疫系統:過敏反應、過敏性休克。

心血管系統:心悸、心律失常、心動過速、血壓升高、血壓降低、潮紅、靜脈炎、發紺。

全身性反應:寒戰、畏寒、發熱(高熱)、胸部不適、疼痛、乏力、水腫。

呼吸系統:呼吸困難、呼吸急促、咳嗽。

皮膚及皮下組織:瘙癢、皮疹、蕁麻疹、紅斑、皮膚腫脹、多汗。

胃腸系統:惡心、嘔吐、口干、反酸、腹痛、腹部不適、腹脹、腹瀉。

神經系統和精神類反應:頭暈、頭痛、感覺減退、震顫、抽動、煩躁不安。

肝膽系統:肝功能異常、肝酶升高。

其他:視覺損害、注射部位疼痛、注射部位瘙癢、注射部位腫脹、眩暈、肢體疼痛、排尿困難。

【禁忌】對本品中任何成份過敏者禁用。

【注意事項】1.本品中毒的早期表現是心電圖的變化(可逆性)。本品動物實驗顯示2mg/ml對新西蘭家兔具有輕度肌肉刺激性,臨床應用肌內注射時請注意采取防護措施。

2.過敏體質者、嚴重肝功能異常者慎用。

3.上市后監測到本品有過敏性休克的嚴重不良反應病例報告,建議在有搶救條件的醫療機構使用,用藥前應仔細詢問患者用藥史和過敏史,用藥過程中注意觀察,一旦出現過敏反應或其他嚴重不良反應須立即停藥并及時救治。

【孕婦及哺乳期婦女用藥】尚缺乏本品孕婦及哺乳期婦女用藥的安全性研究資料。

【兒童用藥】本品用于兒童的安全、有效性尚未建立。

【老年用藥】尚缺乏老年患者用藥的資料。

【藥物相互作用】尚不明確。

【藥物過量】尚不明確。

【藥理毒理】

藥理作用

本品為非成癮性鎮痛藥,具有較強的鎮痛作用。本品還具有局部麻醉、降溫、解熱和抗炎消腫作用。本品與哌替啶相比,鎮壓痛效果相當,起效時間稍慢,而維持時間較長;鎮痛作用為解熱鎮痛藥氨基比林的7倍。

毒理研究

本品無成癮性,動物試驗無致畸胎作用,亦不會發生蓄積中毒。急性毒性試驗結果:大鼠經口LD50為20mg/Kg;小鼠腹腔注射LD50為9.1mg/Kg,靜脈注射LD50為6.9mg/Kg。

【藥代動力學】尚不明確。

【貯藏】遮光、密閉保存。

【包裝】低硼硅玻璃管制注射劑瓶、氯化丁基橡膠塞,每5支

【有效期】24個月

【執行標準】WS1-XG-013-2016

【批準文號】(1)國藥準字H20051845  2)國藥準字H20051846

藥品上市許可持有人開封康諾藥業有限公司

注冊地址:開封市金明大道南段66號

【生產企業】

      企業名稱:開封康諾藥業有限公司

生產地址:開封市金明大道南段66號

郵政編碼:475004

電話號碼:0371-23236566

傳真號碼:0371-23236566

網  址:m.mecw.com.cn

 

 

 

 

 


Copyright ? 2018 開封康諾藥業有限公司.豫ICP備20006211號 (豫)-非經營性-2025-0002 豫公網安備41020402000112號. All Rights Reserved. Designed by Wanhu
  • 好大好长好紧爽男 唐河县| 雷波县| 汨罗市| 伊宁市| 那曲县| 宣恩县| 大荔县| 阜新市| 收藏| 灵武市| 双辽市| 辽中县| 钟祥市| 布拖县| 屯门区| 报价| 大连市| 岚皋县| 汤阴县| 郴州市| 唐山市| 卢氏县| 宾川县| 巢湖市| 迁西县| 滁州市| 龙泉市| 江城| 泰州市| 兴仁县| 板桥市| 广昌县| 西乡县| 两当县| 双桥区| 白城市| 绍兴县| 遵义县| 宝应县| 洞头县| 通州市| http://444 http://444 http://444