好大好长好紧爽男,宝贝,乖,使劲,夹我浪一点,国产激情在线一区,变态男把女内裤扒开让男人看

新聞資訊News Center
您的位置:首頁 - 新聞資訊 - 安全公告

關于注射用奧美拉唑鈉修訂說明書的公告

發布時間:2022-09-23 09:35閱讀次數: 分享到:

依據國家藥監局關于修訂質子泵抑制劑類藥品說明書的公告(2022年第18),我公司對注射用奧美拉唑鈉說明書【不良反應】、【注意事項】及【藥物相互作用】項進行修訂,請經營單位、使用單位知悉,更新后說明書全文如下。

                                                                                                                                                      

核準日期20070601                             

修訂日期:20110410 

20111226 

20131201

20151201

20201230

20220523                        

注射用奧美拉唑鈉說明書
請仔細閱讀說明書并在醫師指導下使用

【藥品名稱】
通用名稱:注射用奧美拉唑鈉
英文名稱:Omeprazole Sodium for Injection
漢語拼音:Zhusheyong Aomeilazuona
【成份】
本品主要成份為:奧美拉唑鈉。

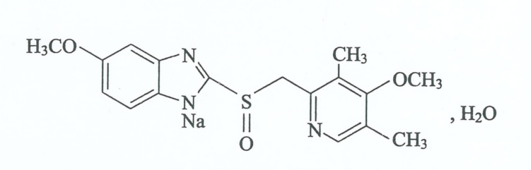
化學名稱:5-甲氧基-2-[[(4-甲氧基-3,5-二甲基-2-吡啶基)-甲基]?;?/span>]-1H-苯并咪唑鈉一水合物。
化學結構式:

分子式:C17H18N3NaO3S·H2O
  分子量:385.41

專用溶劑成份:氯化鈉、注射用水。
【性狀】
本品為白色或類白色疏松塊狀物或粉末。專用溶劑為無色液體。
【適應癥】
作為當口服療法不適用時下列病癥的替代療法:十二指腸潰瘍、胃潰瘍、反流性食管
炎及Zollinger-Ellison綜合征。
【規格】42.6mg相當于奧美拉唑40mg
【用法用量】
    靜脈推注。一次40毫克(一瓶凍干粉),每日12次。臨用前將10毫升專用溶劑注入凍干粉小瓶內,禁止用其它溶劑溶解。本品溶解后必須在2小時內使用,推注時間為2.5 4分鐘。

靜脈滴注。一次一支,每日12次。臨用前將10毫升專用溶劑注入凍干粉小瓶內,禁止用其它溶劑溶解。溶解后及時加入0.9%氯化鈉注射液100ml5%葡萄糖注射液100ml中稀釋后供靜脈滴注,經稀釋后的奧美拉唑鈉溶液靜脈滴注時間不得少于20分鐘。本品溶解和稀釋后必須在4小時內用完。

【不良反應】
奧美拉唑的耐受性良好,不良反應多為輕度和可逆。下列不良反應為臨床試驗或常規使用中所報告,但在許多病例中與奧美拉唑治療本身的因果關系尚未確定。
下述不良反應中:
常見是指發生率≥l100
不常見是指發生率≥l1000,但<1100
罕見是指發生率<11000
常見
中樞和外周神經系統:頭痛
消化系統:腹瀉、便秘、腹痛、惡心/嘔吐和氣脹
不常見
中樞和外周神經系統:頭暈、感覺異樣、嗜睡、失眠和眩暈
肝臟:肝酶升高
皮膚:皮疹和(或)瘙癢、蕁麻疹
其他:不適
罕見
中樞和外周神經系統:可逆性精神錯亂、激動、攻擊性行為、抑郁和幻覺,多見于重癥患者。
內分泌系統:男子乳房女性化
消化系統:口干、口炎和胃腸道念珠菌感染,艱難梭菌相關性腹瀉。
血液系統:白細胞減少、血小板減少、粒細胞缺乏癥和各類血細胞減少。
肝臟:腦?。ㄒ娪谙惹坝袊乐馗尾』颊撸?,肝炎或黃疸性肝炎、肝臟衰竭。
肌肉與骨骼:關節痛、肌力減弱和肌痛,髖部、腕部或脊柱骨折。
皮膚:光敏性、多形紅斑、Stevens—Johnson綜合征、毒性表皮壞死(TEN)、脫發
其他:過敏反應,例如血管水腫、發熱、支氣管痙攣、間質性腎炎和過敏性休克。出汗增多、外圍水腫、視力模糊、味覺失常和低鈉血癥。低鎂血癥(低鎂血癥也可能與低鉀血癥有關;嚴重低鎂血癥可能導致低鈣血癥)。
曾有文獻報道,個例重癥患者接受高劑量奧美拉唑靜脈注射后出現不可逆性視覺損傷。

【禁忌】
對本品過敏者禁用。
【注意事項】
1.本品抑制胃酸分泌的作用強,時間長,故應用本品時不宜同時再服用其它抗酸劑或
抑酸劑。為防止抑酸過度,在一般消化性潰瘍等疾病,不建議大劑量長期應用(Zollinger-Ellison綜合征患者除外)。
2.因本品能顯著升高胃內pH值,可能影響許多藥物的吸收。
3.腎功能受損者不須調整劑量;肝功能受損者慎用,根據需要酌情減量。
4.治療胃潰瘍時應排除胃癌后才能使用本品,以免延誤診斷和治療。

5.奧美拉唑是一種CYP2C19抑制劑。當開始或者停止使用奧美拉唑治療時,需要考慮到奧美拉唑與通過CYP2C19進行代謝的藥物間存在的潛在相互作用。在氯吡格雷和奧美拉唑間已經觀察到相互作用(見【藥物相互作用】,這一相互作用的臨床相關性尚不明確。出于預防考慮,不建議奧美拉唑和氯吡格雷合并使用。

6.使用質子泵抑制劑進行治療時可能會導致胃腸道感染風險輕微升高,如沙門氏菌和彎曲桿菌感染,在住院患者中,也可能是艱難梭菌感染。

7.接受質子泵抑制劑(PPI)如奧美拉唑的患者有重度低鎂血癥的報道,這些病人至少接受3個月以上的治療,其中大多為治療1年的患者??赡軙l生低鎂血癥的嚴重臨床表現,諸如衰竭、強直、譫妄、驚厥、頭暈和室性心律失常,但開始時往往不明顯,容易被忽略。對于大多數患者,在補鎂治療和停用PPI后,低鎂血癥改善。

8.對于需要接受長期治療的患者、或者是使用PPI治療的同時還要接受地高辛或可能會導致低鎂血癥藥物(如利尿藥)治療的患者,醫療專業人員需要考慮在給予PPI治療之前和治療期間定期監測患者的血鎂濃度。

9.質子泵抑制劑,特別是在使用高劑量和使用時間>1年的情況下,可能會增加髖、腕和脊柱骨折的風險,主要是發生在老年人或存在其他已知風險因素的患者中。觀察研究提示,質子泵抑制劑可能會使骨折風險總體增加1040%,其中一部分也可能是由于其他風險因素所致。存在骨質疏松風險的患者應按照當前的臨床指南接受治療,且服用適量的維生素D和鈣。
【孕婦哺乳期婦女用藥】
盡管動物實驗未發現本品對妊娠期和哺乳期有不良作用或對胎兒有毒性或致畸作,但建議妊娠期和哺乳期婦女盡可能不用。
【兒童用藥】
目前尚無兒童使用本品的經驗。
【老年用藥】
老年患者無需調整劑量。
【藥物相互作用】
因為本品可使胃內酸度下降,有些藥物的吸收可能會有所改變。因此在用奧美拉唑或其它酸抑制劑或抗酸劑治療時,酮康唑和伊曲康唑的吸收會下降。
由于奧美拉唑在肝臟中通過細胞色素F4502C19(CYP2C19)代謝,會延長其它酶解物如地西泮、華法林(R—華法林)和苯妥英的清除。本品與華法林和苯妥英治療時應給予監測,必要時應予減低華法林或苯妥英之劑量。持續使用苯妥英治療的患者同時每天一次給予本品20mg,苯妥英的血藥濃度并不受影響。同樣,持續使用華法林治療的病人同時每天一次給予本品20mg,并不改變凝血時間。
當奧美拉唑與克拉霉素合用時,它們的血藥濃度會上升。但與甲硝唑或阿莫西林合用時,無相互作用。這些抗生素與奧美拉唑合用可根除幽門螺桿菌。

氯吡格雷:健康受試者中的研究結果顯示,氯吡格雷(300mg負荷劑量/75mg日維持劑量)和奧美拉唑(80mg口服日劑量)之間的藥代動力學(PK/藥效學(PD)相互作用,導致氯吡格雷活性代謝的暴露量平均下降46%,并導致血小板聚集的最大抑制作用(ADP誘導)平均下降16%。在觀察性和臨床研究中,就重大心血管事件而言,這種PK/PD相互作用的臨床意義已有不一致數據的報道。為了預防起見,不得聯合使用奧美拉唑和氯吡格雷(見【注意事項】)。
【藥物過量】
臨床試驗中,本品靜脈給藥一天累積劑量達270mg和三天達650mg,并出現劑量相關性不良反應。
【藥理毒理】
奧美拉唑是一對活性旋光對映體的消旋混合物,籍由高目標性的作用機制來降低胃酸的分泌,是胃壁細胞中酸泵的特殊抑制劑。本品作用迅速,每天一次的劑量能夠可逆性的抑制胃酸的分泌。
奧美拉唑是一種弱堿性物質,在胃壁細胞內小管這一高酸性環境中被濃縮轉化為活性物質,抑制H+,K+ATP(質子泵)。這種對胃酸形成最后步驟的抑制作用呈劑量相關性,并高度抑制基礎胃酸分泌和刺激性胃酸分泌,但與刺激物無關。
人體靜脈給予奧美拉唑,呈劑量相關性的抑制胃酸分泌,為了迅速達到與多次口服20毫克相同的降低胃內酸度的作用,建議首次靜脈內給予40毫克奧美拉唑。靜注40毫克奧美拉唑迅速降低胃內酸度,24小時內平均下降90%。奧美拉唑的抑制胃酸分泌作用與藥時曲線下面積(AUC)相關,而與給藥時的血藥濃度無關。
幽門螺桿菌與酸消化性疾病有關,包括十二指腸潰瘍和胃潰瘍,分別由95%和70%的
十二指腸潰瘍和胃潰瘍與幽門螺桿菌感染有關。幽門螺桿菌是導致胃炎的主要因素。幽門螺桿菌和胃酸一起是導致消化性潰瘍的主要因素。
奧美拉唑與抗生素合用可根除幽門螺桿菌,這與迅速緩解癥狀、胃粘膜修復率高及消化性潰瘍病的長期緩解相關,并因此減少了胃腸道出血等并發癥,同時也減少了長期用抗泌酸藥治療的需要。
任何方法,包括質子泵抑制劑所致胃酸減少,都增加胃腸道內正常菌群的數量,用抑酸藥物治療,則沙門菌和彎曲桿菌屬感染胃腸道的危險性可能略有增加。
在大鼠長期給予奧美拉唑的研究中,觀察到胃ECL細胞增大和良性腫瘤,這是持續性高胃泌素血癥因胃酸抑制的結果。在用H2受體拮抗劑、質子泵抑制劑治療后和部分底部切除術后也有類似的發現。顯然這些變化并非上述藥物的直接作用。
【藥代動力學】
分布
健康人體分布容積約為0.3Lkg,腎功能不全病人也有相近的分布容積。老人或肝功能不全病人的分布容積稍低,血漿蛋白結合率約為95%。
代謝和排泄
靜脈內給奧美拉唑,藥時曲線的平均終末相半衰期約為40分鐘,總血漿清除率為
0.30.6Lmin。治療期間半衰期未變化。
奧美拉唑主要在肝臟中經細胞色素P450(CYP)酶系完全代謝。其中主要依賴特異的同功型CYP2C19(S-美芬妥英羥化酶),該酶的遺傳表達具有多態性,奧美拉唑經CYP2C19催化生成羥基奧美拉唑,這是血漿中的主要代謝產物。鑒于此,奧美拉唑與CYP2C19的其他底物之間可能會由于競爭性抑制而產生代謝上的藥物藥物相互作用。
奧美拉唑代謝物對胃酸的分泌沒有作用。約80%的靜脈內給藥劑量以代謝物形式經尿液排泄,其余主要由膽汁分泌,經糞便排泄。
腎衰病人奧美拉唑的清除未有變化,肝功能損害病人的清除半衰期增加,但每日一次口服劑量未見奧美拉唑積累。
【貯藏】密閉,涼暗處(避光并不超過20℃)保存。
【包裝】低硼硅玻璃管制注射劑瓶和低硼硅玻璃安瓿,氯化丁基膠塞,每盒裝有一瓶凍干粉和一支專用溶劑。
【有效期】24個月
【執行標準】《中國藥典》2020年版二部

【批準文號】國藥準字H20065825

藥品上市許可持有人開封康諾藥業有限公司

注冊地址:開封市金明大道南段66
【生產企業】
企業名稱:開封康諾藥業有限公司
生產地址:開封市金明大道南段66
郵政編碼:475004
電話號碼:0371-23236566

傳真號碼:0371-23236566

    址:m.mecw.com.cn

 

 

Copyright ? 2018 開封康諾藥業有限公司.豫ICP備20006211號 (豫)-非經營性-2025-0002 豫公網安備41020402000112號. All Rights Reserved. Designed by Wanhu
  • 好大好长好紧爽男 通化县| 黄平县| 高碑店市| 沂水县| 滕州市| 正阳县| 樟树市| 保德县| 永年县| 屯昌县| 洪江市| 通化市| 惠来县| 永和县| 霍林郭勒市| 伊金霍洛旗| 灵山县| 吴忠市| 郎溪县| 大名县| 庆安县| 海淀区| 遵义市| 台东市| 韶关市| 驻马店市| 绥阳县| 朝阳县| 灵山县| 宽甸| 麻江县| 宁南县| 棋牌| 澄城县| 高淳县| 小金县| 永嘉县| 尼玛县| 杭锦后旗| 临猗县| 灌云县| http://444 http://444 http://444